鍗楁搗鎵鍦╡DNA鎶鏈В鏋愬緇村害楸肩被緹よ惤澶氭牱鎬х爺絀舵柟闈㈠彇寰楃獊鐮?/h3>
榪戞棩錛屼腑鍥芥按浜х瀛︾爺絀墮櫌鍗楁搗姘翠駭鐮旂┒鎵闄㈢駭鍗楁搗娓斾笟璧勬簮璋冩煡涓庤瘎浼板垱鏂板洟闃熷拰鎵綰у崡嫻風弽紼嬋掑嵄鍔ㄧ墿淇濇姢鍒涙柊鍥㈤槦鍦╡DNA鎶鏈В鏋愬緇村害楸肩被緹よ惤澶氭牱鎬х爺絀舵柟闈㈠彇寰楃獊鐮達紝璇勪及浜唀DNA鎶鏈彮紺哄緇村害楸肩被澶氭牱鎬х殑鍙鎬э紝寮鴻皟浜唀DNA鎶鏈厠鏈嶄紶緇熸柟娉曞湪璇勪及緋葷粺鍙戣偛澶氭牱鎬ф柟闈㈠眬闄愭х殑浠峰箋傜浉鍏崇爺絀舵垚鏋滀互鈥淎dvancing fish diversity monitor in degraded marine ecosystem with environmental DNA approach: Unveiling hidden riches鈥濅負棰樺彂琛ㄥ湪鍥介檯鐢熸佸棰嗗煙鏈熷垔銆奅cological Indicators銆嬶紙鑱斿悎鍩瑰吇鐮旂┒鐢熻拫浣╂枃涓虹涓浣滆咃紝鏉庢晱鍜岄檲浣滃織涓洪氳浣滆咃級銆?/span>
浠庡涓淮搴︾悊瑙i奔綾誨鏍鋒у浜庢繁鍏ヤ簡瑙i奔綾葷兢钀姐佺淮鎶ゅ鏍鋒ф按騫沖叿鏈夐噸瑕佹剰涔夈備紶緇熺殑鐗╃澶氭牱鎬ц瘎浼頒富瑕佸叧娉ㄥ垎綾誨鏍鋒э紙taxonomic diversity錛孴D錛夛紝鍗崇墿縐嶄赴瀵屽害錛屽線寰蹇借浜嗙墿縐嶉棿鍥烘湁鐨勭敓鎬佸樊寮傘備負浜嗚В鍐寵繖浜涘眬闄愭э紝鍔熻兘澶氭牱鎬э紙functional diversity錛孎D錛夊拰緋葷粺鍙戣偛澶氭牱鎬э紙phylogenetic diversity錛孭D錛夌瓑鎸囨爣琚紩鍏ワ紝浠ユ洿鍏ㄩ潰浜嗚В緹よ惤鐨勭敓鎬佸姛鑳藉拰閫傚簲鐜鍙樺寲鐨勬綔鍔涖傜劧鑰岀郴緇熷彂鑲插鏍鋒ц瘎浼伴渶瑕侀噰闆嗙兢钀戒腑姣忎釜鐗╃鐨勯仐浼犱俊鎭紝榪欏浼犵粺鐨勯噰鏍鋒柟娉曟瀯鎴愪簡閲嶅ぇ鎸戞垬錛屽紑鍙戠畝鍗曟槗鐢ㄧ殑澶氱淮搴﹂奔綾誨鏍鋒х爺絀舵柟妗堟樉寰楀挨涓洪噸瑕併?/p>
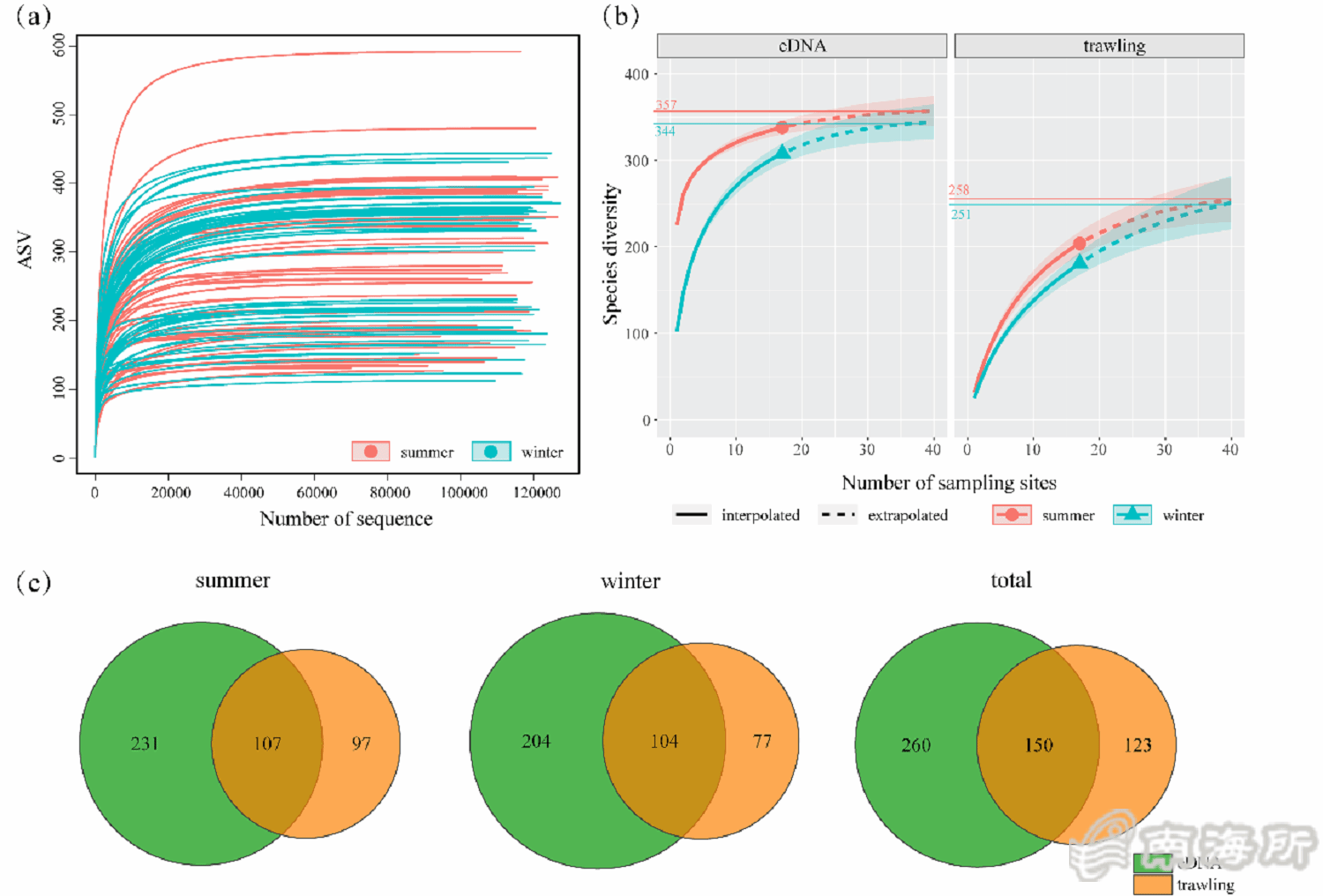
鍗楁搗鎵鍒涙柊鍥㈤槦鏋勫緩浜嗗熀浜庣幆澧僁NA錛坋DNA錛夋妧鏈殑楸肩被澶氭牱鎬у緇磋瘎浠鋒柟娉曪紝騫剁粨鍚堟嫋緗戞墜孌佃В鏋愪簡鍗楁搗鍖楅儴闄嗘灦嫻峰煙楸肩被緹よ惤緇撴瀯鏃剁┖鍙樺寲鐗瑰緛浠ュ強涓庣幆澧冨洜瀛愮殑鍏崇郴銆傚垱鏂板洟闃熼夋嫨鍗楁搗鍖楅儴200綾蟲按娣變互嫻呯殑嫻峰煙浣滀負鐮旂┒鍖哄煙錛屽垎鍒簬澶忓鍜屽啲瀛i噰闆嗗涓珯鐐圭殑姘存牱錛堝浘1錛夛紝騫跺悓姝ヨ繘琛屼簡搴曟嫋緗戦噰鏍峰拰鐜鏁版嵁閲囬泦銆傞氳繃eDNA瀹忔潯鐮佹妧鏈В鏋愪簡楸肩被鐗╃緇勬垚錛屼粠偽澶氭牱鎬у拰尾澶氭牱鎬у眰闈㈣瘎浼頒簡TD銆丗D鍜孴D銆?/p>

鍥? 鍗楁搗鍖楅儴楸肩被緹よ惤絀洪棿宸紓鍙婁笌鍦扮悊璺濈涔嬮棿鐨勭浉鍏蟲?/span>
閫氳繃eDNA鏂規硶鍒嗗埆鍦ㄥ瀛e拰鍐媯嫻嬪埌338縐嶅拰308縐嶉奔綾匯俥DNA閴村畾鐨勭墿縐嶅垎鍒崰澶忓銆佸啲瀛e拰鎬諱綋搴曟嫋緗戞嫻嬪埌鐨勭墿縐嶇殑52.2%銆?7.1%鍜?4.9%錛堝浘2錛夈傜兢钀界粨鏋勫樊寮備笌鍦扮悊璺濈鏈夎緝寮虹殑鐩稿叧鎬э紝鍖楅儴婀句笌涓滈儴澶ч檰鏋跺尯鐨勯奔綾葷兢钀藉憟鐜板嚭鏄捐憲宸紓錛堝浘1錛夈?/p>

鍥? eDNA鍜屾嫋緗戞鑾風殑楸肩被縐嶇被瀵規瘮
鍦ㄎ卞鏍鋒ф柟闈紝鍗楁搗鍖楅儴澶忓鐨勯奔綾誨垎綾誨鏍鋒э紙species錛?25 vs.102錛夈佸姛鑳藉鏍鋒э紙FRic錛?.51 vs.0.19錛変互鍙婄郴緇熷彂鑲插鏍鋒э紙PD錛?6.27 vs. 15.81錛夊潎楂樹簬鍐錛堝浘3錛夈傚湪尾澶氭牱鎬ф柟闈紝鐗╃鏇挎崲錛圧eplacement錛夊鎬諱綋尾澶氭牱鎬х殑璐$尞澶т簬涓板瘜搴﹀樊寮傦紙Richness difference錛夌殑璐$尞錛堝浘4錛夛紝璇存槑瀛h妭闂寸兢钀界粨鏋勭殑宸紓涓昏鐢辯墿縐嶆浛鎹㈤┍鍔ㄣ傜粨鏋滆〃鏄庡崡嫻峰寳閮ㄩ奔綾誨湪澶忓鏇翠負涓板瘜鍜屾椿璺冿紝鑰屽湪鍐琛ㄧ幇鍑烘洿鏄捐憲鐨勭┖闂村垎甯冨樊寮傦紝濡傝縼縐誨埌綰害杈冧綆銆佹俯搴﹁緝楂樼殑鍦板尯榪囧啲銆傛澶栵紝鍒╃敤姘寸幆澧冨拰鍦扮悊鐜鍥犵礌瑙i噴浜嗗崡嫻峰寳閮ㄩ奔綾晃卞拰尾澶氭牱鎬х殑鍙樺寲錛氬瀛i奔綾葷兢钀界粨鏋勬洿澶氬湴鍙楀埌姘寸幆澧冨洜绱犵殑褰卞搷錛岃屽啲瀛e垯鏇村鍦板彈鍒板湴鐞嗗洜绱犵殑褰卞搷錛堝浘5錛夈?/p>

鍥? 鍩轟簬eDNA瀹忔潯鐮佺殑鍗楁搗鍖楅儴楸肩被偽澶氭牱鎬э紙TD偽銆丗D偽鍜孭D偽錛夊鑺傚樊寮?/span>

鍥? 鍩轟簬eDNA瀹忔潯鐮佺殑鍗楁搗鍖楅儴楸肩被尾澶氭牱鎬э紙TD尾銆丗D尾鍜孭D尾錛?/span>
璇ョ爺絀跺緱鍒板浗瀹墮噸鐐圭爺鍙戣鍒掋佷腑鍥芥按浜х瀛︾爺絀墮櫌涓ぎ綰у叕鐩婃х鐮旈櫌鎵鍩烘湰縐戠爺涓氬姟璐圭瓑欏圭洰璧勫姪銆?/p>
璁烘枃閾炬帴錛?a >https://www.sciencedirect.com/science/article/pii/S1470160X24003509

鍥? 姘寸幆澧冨洜瀛愮殑瀛h妭宸紓涓庨奔綾誨鏍鋒ф寚鏍囩殑鐩稿叧鎬?/span>
寰俊鎵竴鎵?br>鍒嗕韓鍒版湅鍙嬪湀
榪戞棩錛屼腑鍥芥按浜х瀛︾爺絀墮櫌鍗楁搗姘翠駭鐮旂┒鎵闄㈢駭鍗楁搗娓斾笟璧勬簮璋冩煡涓庤瘎浼板垱鏂板洟闃熷拰鎵綰у崡嫻風弽紼嬋掑嵄鍔ㄧ墿淇濇姢鍒涙柊鍥㈤槦鍦╡DNA鎶鏈В鏋愬緇村害楸肩被緹よ惤澶氭牱鎬х爺絀舵柟闈㈠彇寰楃獊鐮達紝璇勪及浜唀DNA鎶鏈彮紺哄緇村害楸肩被澶氭牱鎬х殑鍙鎬э紝寮鴻皟浜唀DNA鎶鏈厠鏈嶄紶緇熸柟娉曞湪璇勪及緋葷粺鍙戣偛澶氭牱鎬ф柟闈㈠眬闄愭х殑浠峰箋傜浉鍏崇爺絀舵垚鏋滀互鈥淎dvancing fish diversity monitor in degraded marine ecosystem with environmental DNA approach: Unveiling hidden riches鈥濅負棰樺彂琛ㄥ湪鍥介檯鐢熸佸棰嗗煙鏈熷垔銆奅cological Indicators銆嬶紙鑱斿悎鍩瑰吇鐮旂┒鐢熻拫浣╂枃涓虹涓浣滆咃紝鏉庢晱鍜岄檲浣滃織涓洪氳浣滆咃級銆?/span>
浠庡涓淮搴︾悊瑙i奔綾誨鏍鋒у浜庢繁鍏ヤ簡瑙i奔綾葷兢钀姐佺淮鎶ゅ鏍鋒ф按騫沖叿鏈夐噸瑕佹剰涔夈備紶緇熺殑鐗╃澶氭牱鎬ц瘎浼頒富瑕佸叧娉ㄥ垎綾誨鏍鋒э紙taxonomic diversity錛孴D錛夛紝鍗崇墿縐嶄赴瀵屽害錛屽線寰蹇借浜嗙墿縐嶉棿鍥烘湁鐨勭敓鎬佸樊寮傘備負浜嗚В鍐寵繖浜涘眬闄愭э紝鍔熻兘澶氭牱鎬э紙functional diversity錛孎D錛夊拰緋葷粺鍙戣偛澶氭牱鎬э紙phylogenetic diversity錛孭D錛夌瓑鎸囨爣琚紩鍏ワ紝浠ユ洿鍏ㄩ潰浜嗚В緹よ惤鐨勭敓鎬佸姛鑳藉拰閫傚簲鐜鍙樺寲鐨勬綔鍔涖傜劧鑰岀郴緇熷彂鑲插鏍鋒ц瘎浼伴渶瑕侀噰闆嗙兢钀戒腑姣忎釜鐗╃鐨勯仐浼犱俊鎭紝榪欏浼犵粺鐨勯噰鏍鋒柟娉曟瀯鎴愪簡閲嶅ぇ鎸戞垬錛屽紑鍙戠畝鍗曟槗鐢ㄧ殑澶氱淮搴﹂奔綾誨鏍鋒х爺絀舵柟妗堟樉寰楀挨涓洪噸瑕併?/p>
鍗楁搗鎵鍒涙柊鍥㈤槦鏋勫緩浜嗗熀浜庣幆澧僁NA錛坋DNA錛夋妧鏈殑楸肩被澶氭牱鎬у緇磋瘎浠鋒柟娉曪紝騫剁粨鍚堟嫋緗戞墜孌佃В鏋愪簡鍗楁搗鍖楅儴闄嗘灦嫻峰煙楸肩被緹よ惤緇撴瀯鏃剁┖鍙樺寲鐗瑰緛浠ュ強涓庣幆澧冨洜瀛愮殑鍏崇郴銆傚垱鏂板洟闃熼夋嫨鍗楁搗鍖楅儴200綾蟲按娣變互嫻呯殑嫻峰煙浣滀負鐮旂┒鍖哄煙錛屽垎鍒簬澶忓鍜屽啲瀛i噰闆嗗涓珯鐐圭殑姘存牱錛堝浘1錛夛紝騫跺悓姝ヨ繘琛屼簡搴曟嫋緗戦噰鏍峰拰鐜鏁版嵁閲囬泦銆傞氳繃eDNA瀹忔潯鐮佹妧鏈В鏋愪簡楸肩被鐗╃緇勬垚錛屼粠偽澶氭牱鎬у拰尾澶氭牱鎬у眰闈㈣瘎浼頒簡TD銆丗D鍜孴D銆?/p>

鍥? 鍗楁搗鍖楅儴楸肩被緹よ惤絀洪棿宸紓鍙婁笌鍦扮悊璺濈涔嬮棿鐨勭浉鍏蟲?/span>
閫氳繃eDNA鏂規硶鍒嗗埆鍦ㄥ瀛e拰鍐媯嫻嬪埌338縐嶅拰308縐嶉奔綾匯俥DNA閴村畾鐨勭墿縐嶅垎鍒崰澶忓銆佸啲瀛e拰鎬諱綋搴曟嫋緗戞嫻嬪埌鐨勭墿縐嶇殑52.2%銆?7.1%鍜?4.9%錛堝浘2錛夈傜兢钀界粨鏋勫樊寮備笌鍦扮悊璺濈鏈夎緝寮虹殑鐩稿叧鎬э紝鍖楅儴婀句笌涓滈儴澶ч檰鏋跺尯鐨勯奔綾葷兢钀藉憟鐜板嚭鏄捐憲宸紓錛堝浘1錛夈?/p>

鍥? eDNA鍜屾嫋緗戞鑾風殑楸肩被縐嶇被瀵規瘮
鍦ㄎ卞鏍鋒ф柟闈紝鍗楁搗鍖楅儴澶忓鐨勯奔綾誨垎綾誨鏍鋒э紙species錛?25 vs.102錛夈佸姛鑳藉鏍鋒э紙FRic錛?.51 vs.0.19錛変互鍙婄郴緇熷彂鑲插鏍鋒э紙PD錛?6.27 vs. 15.81錛夊潎楂樹簬鍐錛堝浘3錛夈傚湪尾澶氭牱鎬ф柟闈紝鐗╃鏇挎崲錛圧eplacement錛夊鎬諱綋尾澶氭牱鎬х殑璐$尞澶т簬涓板瘜搴﹀樊寮傦紙Richness difference錛夌殑璐$尞錛堝浘4錛夛紝璇存槑瀛h妭闂寸兢钀界粨鏋勭殑宸紓涓昏鐢辯墿縐嶆浛鎹㈤┍鍔ㄣ傜粨鏋滆〃鏄庡崡嫻峰寳閮ㄩ奔綾誨湪澶忓鏇翠負涓板瘜鍜屾椿璺冿紝鑰屽湪鍐琛ㄧ幇鍑烘洿鏄捐憲鐨勭┖闂村垎甯冨樊寮傦紝濡傝縼縐誨埌綰害杈冧綆銆佹俯搴﹁緝楂樼殑鍦板尯榪囧啲銆傛澶栵紝鍒╃敤姘寸幆澧冨拰鍦扮悊鐜鍥犵礌瑙i噴浜嗗崡嫻峰寳閮ㄩ奔綾晃卞拰尾澶氭牱鎬х殑鍙樺寲錛氬瀛i奔綾葷兢钀界粨鏋勬洿澶氬湴鍙楀埌姘寸幆澧冨洜绱犵殑褰卞搷錛岃屽啲瀛e垯鏇村鍦板彈鍒板湴鐞嗗洜绱犵殑褰卞搷錛堝浘5錛夈?/p>

鍥? 鍩轟簬eDNA瀹忔潯鐮佺殑鍗楁搗鍖楅儴楸肩被偽澶氭牱鎬э紙TD偽銆丗D偽鍜孭D偽錛夊鑺傚樊寮?/span>

鍥? 鍩轟簬eDNA瀹忔潯鐮佺殑鍗楁搗鍖楅儴楸肩被尾澶氭牱鎬э紙TD尾銆丗D尾鍜孭D尾錛?/span>
璇ョ爺絀跺緱鍒板浗瀹墮噸鐐圭爺鍙戣鍒掋佷腑鍥芥按浜х瀛︾爺絀墮櫌涓ぎ綰у叕鐩婃х鐮旈櫌鎵鍩烘湰縐戠爺涓氬姟璐圭瓑欏圭洰璧勫姪銆?/p>
璁烘枃閾炬帴錛?a >https://www.sciencedirect.com/science/article/pii/S1470160X24003509

鍥? 姘寸幆澧冨洜瀛愮殑瀛h妭宸紓涓庨奔綾誨鏍鋒ф寚鏍囩殑鐩稿叧鎬?/span>


綺ゅ叕緗戝畨澶?4010502001742鍙?/a>