鍗楁搗鎵瀵瑰崡嫻峰尯鍩熸按浜у搧涓叏姘熺兎鍩哄寲鍚堢墿錛圥FASs錛夋薄鏌撶殑鏃剁┖鍒嗗竷鐗瑰緛鍙婃毚闇查闄╃爺絀跺彇寰楁柊榪涘睍

鏍峰搧閲囬泦浣嶇疆鍥?/p>
榪戞棩錛屼腑鍥芥按浜х瀛︾爺絀墮櫌鍗楁搗姘翠駭鐮旂┒鎵姘翠駭鍝佷腑鏈夋瘨鏈夊鐗╄川媯嫻嬫妧鏈垱鏂板洟闃熷鍗楁搗鍖哄煙姘翠駭鍝佷腑鍏ㄦ盁鐑峰熀鍖栧悎鐗╋紙perflurorinated alkyl substances錛孭FASs錛夋薄鏌撶殑鏃剁┖鍒嗗竷鐗瑰緛鍙婃毚闇查闄╂柟闈㈢殑鐮旂┒鍙栧緱鏂拌繘灞曪紝鍦ㄥ浗闄呯幆澧冪瀛﹂鍩熷垔鐗〦xposure and Health涓婂彂琛ㄤ簡棰樹負鈥淒istribution and Exposure Risk Assessment of Perfuorinated Alkyl Substances in Aquatic Products along the Coastal Region of the South China Sea鈥濈殑鐮旂┒璁烘枃錛堢帇鏃嘲涓虹涓浣滆呫佽檔涓滆豹涓洪氳浣滆咃級銆傝鐮旂┒寰楀埌縐戞妧閮ㄧ鎶鍩虹鎬у伐浣滀笓欏癸紙2014FY230100錛夈佸浗瀹墮噸鐐圭爺鍙戣鍒掆滆摑鑹茬伯浠撶鎶鍒涙柊鈥濋」鐩紙2019YFD0901701錛夊拰娣卞湷甯傗滃崄涓変簲鈥濇搗媧嬬粡嫻庡垱鏂板彂灞曠ず鑼冮」鐩紙No 3820錛夌瓑璧勫姪銆?/p>
鍏ㄦ盁鐑峰熀鍖栧悎鐗╋紙PFASs錛夋槸涓綾諱漢宸ュ悎鎴愮殑鐩撮摼鎴栨敮閾炬湁鏈烘盁鍖栫墿錛屽洜鍏剁嫭鐗圭殑鍖栧紼沖畾鎬с佺儹紼沖畾鎬с侀珮琛ㄩ潰媧繪у拰鐤忔按鐤忔補鎬ц川錛岃騫挎硾鐢ㄤ簬椋熷搧鍖呭偍鏉愭枡銆侀犵焊銆佺漢緇囧搧銆佹礂娑ゅ墏銆佺毊闈┿侀鍝佹帴瑙︽潗鏂欑瓑鐢熸椿娑堣垂浜у搧銆傚伐涓氱敓浜т腑澶ч噺浣跨敤鍜屾寔緇帓鏀懼埌鐜涓殑PFASs錛屼細閫氳繃椋熺墿閾劇殑浼犻掓斁澶ф晥搴斿湪鐢熺墿浣撳唴瀵岄泦銆侾FASs浠ュ叾鐜鎸佷箙鎬с侀珮鐢熺墿钃勭Н鎬у拰澶氱姣掓ф晥搴旓紝鍛堢幇鍑哄叏鐞冩х敓鎬佺郴緇熸薄鏌撶殑瓚嬪娍錛屽凡鎴愪負涓綾繪柊鍨嬫湁鏈烘薄鏌撶墿錛屽浜轟綋鍋ュ悍鍏鋒湁娼滃湪鍗卞鑰屽紩璧峰浗闄呯ぞ浼氱殑楂樺害鍏蟲敞銆?/p>
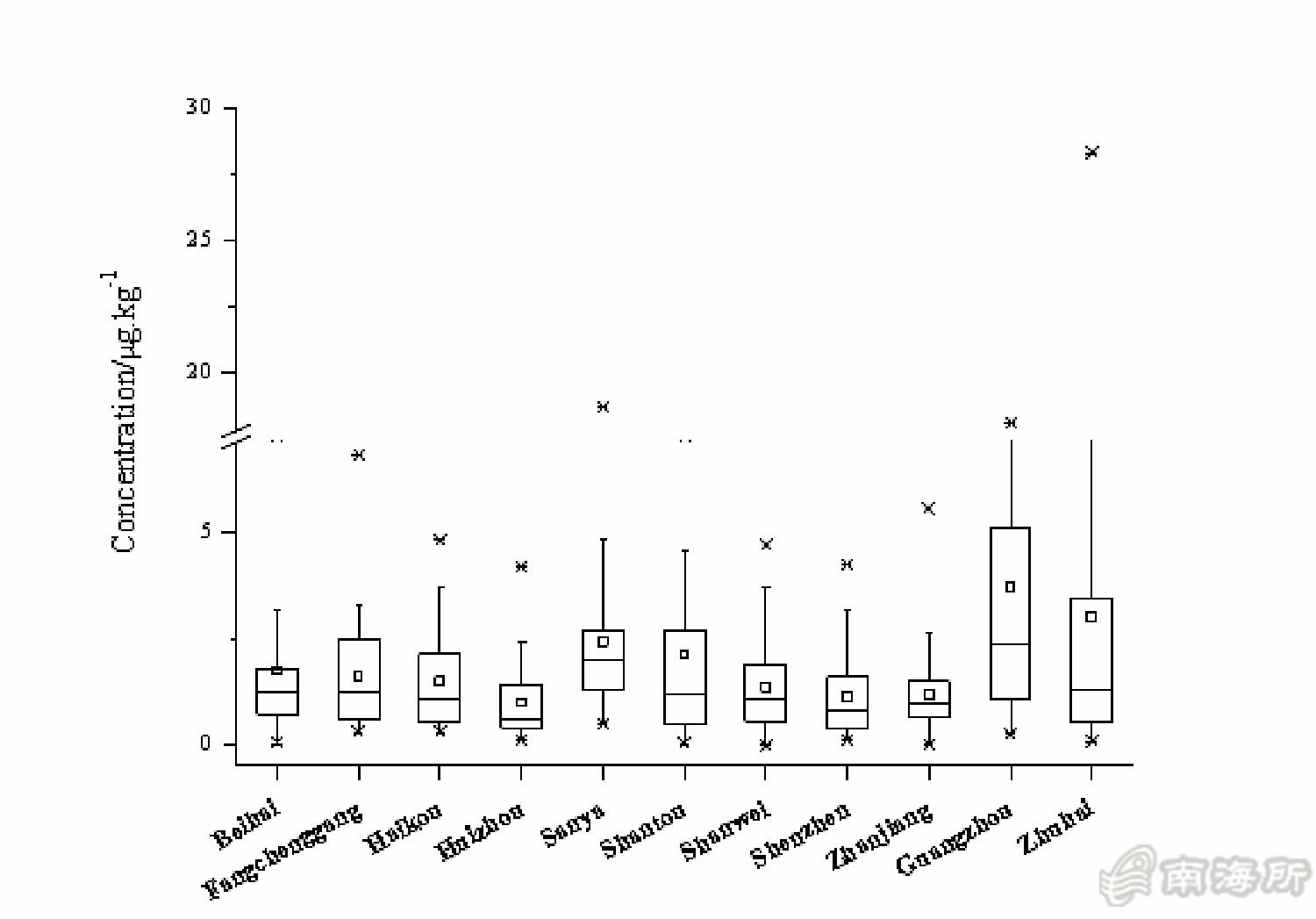
鍗楁搗鎵鍒涙柊鍥㈤槦鍒╃敤瓚呴珮鏁堟恫鐩歌壊璋變覆鑱斾笁閲嶅洓鏋佹潌璐ㄨ氨鎶鏈嫻嬩簡浠庡箍涓溿佸箍瑗褲佹搗鍗?鐪侊紙鍖猴級11涓競閲囬泦鐨勯奔綾匯佽礉綾誨拰鐢插3綾葷瓑844浠芥按浜ф牱鍝侊紝媯嫻?3縐峆FASs鐨勫惈閲忋傚叡媯鍑?6縐峆FASs緇勫垎錛屾牱鍝佺殑鎬繪鍑虹巼楂樿揪99.2%錛岃鏄庢按浜у搧涓璓FASs姹℃煋鐜拌薄宸叉櫘閬嶅瓨鍦ㄣ?鐪佸尯姘翠駭鏍峰搧涓璓FASs鐨勬薄鏌撴按騫崇浉褰擄紝危PFASs鐨勫鉤鍧囧惈閲忓垎鍒負1.79 渭g/kg錛?.91 渭g/kg鍜?.02 渭g/kg銆傚叾涓紝PFOS鍜孭FBA鏄渶涓昏鐨勬薄鏌撶粍鍒嗭紝涓よ呭鏍峰搧涓FASs鐨勬薄鏌撹礎鐚巼杈?3.8%銆備笉鍚屾椂鏈熼噰闆嗙殑鏍峰搧錛屛FASs鐨勫鉤鍧囧惈閲忓憟閫愬勾鍗囬珮鐨勮秼鍔匡紝琛ㄦ槑鍗楁搗鍖哄煙鐜涓璓FASs姹℃煋鏃ョ泭涓ラ噸錛岄渶瑕佸紩璧峰ぇ瀹剁殑閲嶈銆?/p>
璁烘枃閾炬帴錛?a >https://link.springer.com/article/10.1007%2Fs12403-021-00399-4

楸肩被銆佽礉綾誨拰鐢插3綾繪牱鍝佷腑PFASs緇勫垎鐨勬薄鏌撹礎鐚巼

11涓競姘翠駭鍝佷腑PFASs姹℃煋姘村鉤


綺ゅ叕緗戝畨澶?4010502001742鍙?/a>